en   ua   🔍

MathCad


Цей розділ містить матеріали по застосуванню пакету MathCad-2001 Professional при вивченні теорії імовірностей, математичної статистики та деяких інших областей математики. Зрозуміло, що для використання цих матеріалів у Вас має бути сам MathCad-2001 Professional. Якщо Ви ще не знайомі з цим пакетом, то раджу просто інсталювати його і спробувати почитати найпростіші приклади з розділу "QuickSheets and Reference Tables" із Help-а в MathCad.

MathCad2001Pro + Теорія ймовірностей
MathCad2001Pro + Мат. статистика
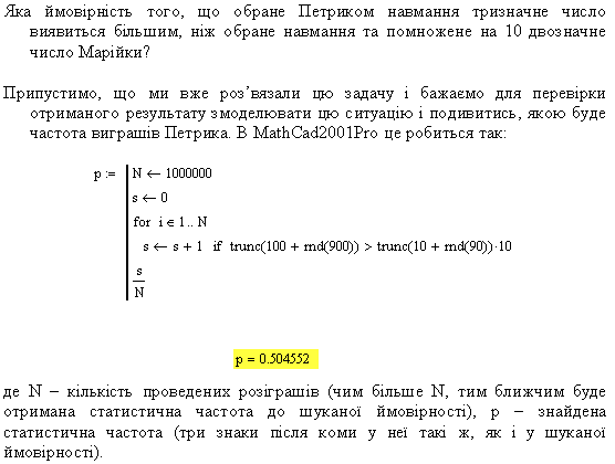
  • Приклад статистичного моделювання в прocтій задачі з теорії ймовірностей.
    [Подивитись z_1_3.gif ]
  • Оцінювання параметрів гауссівської випадкової величини, побудова гістограми та статистичної щільності.
    [Завантажити histogram.mcd , Подивитись histogram.gif ]
  • Моделювання випадкового процесу із заданою кореляційною функцією (з обмеженим доступом).
    [Завантажити cm.zip ]
  • Моделювання випадкового процесу із заданою спектральною щільністю (з обмеженим доступом).
    [Завантажити n1p.zip ]
  • Побудова п'ятиточкової характеризації вибірки
    "Box-and-whiskey-plot" ("Ящик-з-вусами").
MathCad2001Pro + ...


Шарапов М.М. 2007-2026